對於現今幼兒教育之探討
賴彰旋、余嘉祥、黃淑芬 費聿明
東南科技大學企業管理系
摘要
我國在2006年12月12號立法院三讀通過教育基本法「禁止體罰條款」修法,首度明文訂定禁止體罰,國家應保學生學習權、受教育權、身體自主及人格發展權,使學生不受任何體罰,造成心身侵害。體罰的明確定義為何?教育部官員說,歐美先進國家都禁止對學生造成身體疼痛或極度疲勞,青蛙跳、長時間罰站、罰蹲、拱橋等都是蓄意造成學生身心傷害,都可被視為體罰的樣態。但如何認定,仍要由各校教評會依個案情境判斷。
本研究將由問卷方式進行填寫問卷,了解目前教師在面對教育時所遇到問題,使我們瞭解老師對教育下一代的看法、也瞭解現代父母對小孩的體罰教育方式、透過問卷方式做出線性結構分析的理論模式進行測量與驗證。
本研究根據上列因素探討如何管教小孩,家長本身也需要成長與學習。並分析現今怎麼樣的教導才是適合孩子的,教導他們認清什麼是對的,而不懲罰他什麼是錯的,孩子做錯你打了他,所產生的負面效果,因為它產生人的連結與制約,變成警察不在的時候就可以做,在的時候就守制約反而是造成負面影響。
關鍵字:教育兒童、體罰、學生、人格發展
第一章 緒論
時代的變遷,社會的轉型, 現代家庭以少子化,不像過去三代同堂,多子多孫多福氣,養兒防老為依靠,但對孩子的期待,如蛇吞象,朗朗上口的不要輸到起跑點,大眾知曉,甚至嬰兒出生沒多久就開始做皮紋性向分析、透過嬰兒的指紋判斷是藝術型或領導型人物的諮商、希望自己的小孩將來的成就能超過於自己的父母,因現代父母對孩子是望子成龍,望女成鳳、以及對孩子的縱容,也影響到對學校的要求,對老師的不諒解和苛責,我們是否思考過,會不會造
第二章 文獻探討
一、事物好壞判別的認知
孩童做錯事情適當的合理的處理是必要的,人都有劣根性要對錯要分明,在於過度溺愛只會不了解事情上對與錯,不懂做人處世真正的道理,永遠不知道對與錯的差別,但是如果有更好的方法來教育那就是最好不過的方法,幼兒人格教育要從小開始教育,因為小孩開始學說話時已將再複製家長的行為模式,家長的身教言教是非常的重要,有部分家長深表認同孩童犯錯,應該要有適時的處罰,因孩童身心尚未成熟,任何行為模式當做出來時父母親直接糾正或者適當體罰,使得幼兒了解這樣的行為是不對的,幼兒因心靈上尚未成熟,不會了解為何這樣做是錯的,當在遇到同一件事情尚未發生時,就會回想這樣的行為是不對的。
在(黃維明、何琦瑜
二、心靈與人格發展
孩童隨著年齡的增長,上學進到了另一個階段重要的關鍵期,原先由家庭生活規範到團體生活規範,小孩也會重新學習要如何跟其他不是家人的人相處,也會認識到新的行為規範,有一點非常重要往往孩童一開始會將生活規範帶來學校,一開始認為很多事情為什麼學校與家庭規範大不相同,同一件事情在家中發生沒受到任何行為糾正,為什麼在學校反而背老師或者同學直接糾正,正樣的行為是不對的,往往幼兒發生這樣事情時的同時,也會回家問父母為何同樣行為為何會有這樣的差異,這時候的父母不是再是溺愛的幼兒的時候,而是應該要有一個正確的教導,如果父母得知這樣事情,反而到學校糾正老師教育上的錯誤,教師遇見幼兒學校行為上偏差糾正,遭幼兒父母的反駁,相對有個更大的問題將會慢慢的浮現,幼兒日後在行為上的對錯,造成選擇性的對錯,當一個行為模式遭糾正時,只要其中一個人認同行為是正確的,幼兒就會認為行為是正確的,但是也造成日後不管任何事情,都會為自己找藉口等等之類的情形,在一篇範例,
(李雪莉 2007,03,28)從徐薇口中得知:徐薇永遠忘不了那個鉛灰色的夜晚,那晚,九點半下課聲響起,學生們湧上發問;排在人龍第一位的北一女學生,連珠砲式的,一問二十分鐘,後排學生騷動顯出不耐;徐薇委婉說道,「妳先讓其他同學發問,待會兒再來好不好?」她揪了眉轉身離去。徐薇不以為意。幾十分鐘後,徐薇的手機響起,電話那頭,一位中年男性劈頭興師問罪:「妳為什麼不回答我女兒的問題?她一回來就躲起來哭,說後面那位明倫高中學生的問題,會比她的重要嗎?」
從剛剛的範例其中可以了解,為何在學校教育之外,為何家庭教育更為重要,從此範例中可以了解,父母家庭教育上出了幾個問題。在同學排隊請教老師問題,此同學不懂得看後面同學也是等請教老師,而是自認為將自己本身的問題完全問完,卻沒想到後面有多少人也是再等待,當老師糾正此同學行為時,父親卻打電話不滿糾正老師,為何不回答我女兒的問題,其他人有比我女兒重要嗎?由此可知父親為模式與女人行為是一樣的,女兒認為自己本身問題要先解決,卻不會想到周圍環境,父母則是認為為何不先回答我女兒的問題,所以為何家庭教育會比學校教育更為重要。
三、過去傳統教育及現代教育的比較
傳統教育存在於教育歷史甚久,到了十八世紀以後,西方各國逐漸放棄體罰的趨勢,甚是美國家中聽到小孩哭鬧被打的聲音,美國人民甚至報警處理,不像東方世界的傳統教育,在台灣推展西方教育制度,零體罰方式教育現代幼兒,部分支持齡體罰,過去傳統教育傷害幼兒心靈,甚至是一輩子的心靈傷害。
吳清山 教授54期 維護學生人權:學生為教育的主體,不管是教育行政機關或學校,都應該致力於學生人權的維護,避免學生受到暴力的威脅,以及學生犯過懲罰過當。基本上,體罰是一種以暴制暴行為,不僅不符合教育原理,而且亦容易造成學生身心受到傷害,損及學生人權。學生人權的維護,已經成為一種普世的價值,亦是各國努力追求的教育目標
在教育過程適當的體罰以及過度體罰一線之隔,每個人對於體罰定義各不相同,每個人標準都不太一樣,如何教育現在幼兒,實施現在教育新制,能與過去傳統教育方法一樣效果,在現代民主意識抬頭的時代,如何符合現代教育原則。
四、法律的必要性的探討與研究
零體罰立法時,因對「體罰」的定義不清,以及如何才違法沒有明確的標準,也沒所謂配套措施,造成了,部分資深教師覺得,現在小孩太難管了,如果連罰站都不能罰的話,真不知道該如何管教小孩,造成幼兒在教育過程中,因為了解有保護傘教育中,加上幼兒心智上尚未成熟,將來衍生更多問題。
在「(黃維明、何琦瑜
幼兒在接受教育的時候,並不是一定要用嚴厲的手段去教育幼兒,任何教師都不願意使用最後體罰,是否有想過為何教師非得使用體罰,這是應該要好好討論,為何教師要使用最後地體罰?
五、體罰的探討與研究
在七年級生在學生時代,曾經因為成績考不好,
(教育改革與教育討論區報導-(打屁股增加記憶力)心理學家海因斯表示,他們發現當人被打屁股時,其腎上腺素分泌會大幅上升,而用以減低痛楚而分泌的內啡,一旦跟腎上腺素混合,將會有效打通一個人從前沒有充分利用的神經途徑,進而有助IQ的提升,因此一向成績平平的學生,屁股被打得皮開肉裂後竟突然開竅。
雖然打屁股受了皮肉之苦,相對的也有正面之影響,但在打屁股力道上拿捏上,這是教師必須要去衡量,過度得打屁股反而是的體罰,體罰只不過是個手段,真正目的提升學生在學業上素質,以及未來與國際上的競爭力。
六、了解孩童的心靈層次的探討
許多父母認為非常了解自己的孩子,在孩子在學出做錯事情的時候,往往父母知道事情之後,都會說我的小孩是不會做這種事情,我最了解我自己的孩子了,但孩子在學校做錯事情的時候,其實孩子希望用另外一種方式表達自己,希望父母希望聽聽孩子的心聲,孩子希望說出一些想法與父母溝通,父母都會以為,你還是小孩所以也沒很特別去重視,當不去重視孩子想法的時候,就會出現出軌的情形,來表來小孩心中的想法。
做孩子的心理學家-游乾桂(編輯室報告),也許有些父母會認為,孩子是我生的,我怎麼不了解他呢?事實就是如此令人難以置信。根據一項研究報告發現,有61%的孩子表示,父母並不了解他們。當問及最希望父母給他們什麼時,又有56%的小孩認為是愛與關懷,亦即他們期盼的仍是父母的了解
或許部分父母認為很了解自己的孩子,其實越是離自己最近的人就越不了解,反而往往看到家人以外的人看得非常清楚,這是可以好好思考的部分。
第三章
研究方法
一、研究對象
本研究以問卷方式取得樣本,問卷發放地區為台北縣地區,共發放60份問卷,實際收回問卷數通57份,回收比例達到95%,由中了解外在因素是否會影響教育方法。
二、研究工具及問卷方向
1.透過設計問卷了解教師對目前教育看法(附件一、表-1),透過SPSS分析使用因子分析可了解問卷題目好壞以及可分析問卷題目之間所產生出的構面,LISREL使用探索式分析從中可分析出構面與構面之間相關性。
2.問卷內容共12題,主要了解教師外在因素是否會影響教學品質,由中了解目前教師對於教育看法,由分析資料中討論出目前教師對於教育看法。
三、幼兒教育之研究流程
本研究從收集教育相關文獻,從中分析是否可延續性的問題,以及對於文獻的看法。透過問卷方式了解曾經受過教育教育教師,對於教育看法及態度從中了解出問題,如圖-1表示。將相關文獻與問卷分析得到的結果,做出一個總結論,如表-4分析每題問卷答案所佔的比例表。

圖–1幼兒教育之研究流程圖
四,研究假設:如(表-1)
(1).柔性教育與嚴厲教育相對影響。
(2).柔性教育與教育品質相對影響。
(3).柔性教育與外在因素相對影響。
(4).柔性教育與心靈相對影響。
(5).嚴厲教育與教學品質相對影響。
(6).嚴厲教育與外在因素相對影響。
(7).嚴厲教育與心靈相對影響。
(8).教育品質與外在因素相對影響。
(9).教育品質與心靈因素相對影響。
(10).外在因素與心靈因素相對影響。
表-1. 教育方式及外在影響五大構面與問卷題目
|
柔性教育構面 |
6.您對幼兒犯錯糾正後.我們應以同理心繼續來輔導深感認同?(Y1) |
|
3.您對幼兒犯錯糾正以勸導方式深表認同? (Y1) |
|
|
嚴厲教育構面 |
4.您對幼兒犯錯糾正以適度罰站深表認同? (Y2) |
|
5.您對幼兒犯錯糾正剝奪其玩的權利深表認同? (Y2) |
|
|
教育品質構面 |
1.您對獎懲的方式是最佳糾正幼兒不良的行為。(Y3) |
|
12.目前致力提升教育品質.讓幼兒能獲妥善教育方式幼兒學習成長之福。(Y3) |
|
|
2.您對勸導善誘的方式是最佳糾正幼兒不良的行為。(Y3) |
|
|
外在因素構面 |
8.目前部份教育團體.擺脫過去傳統教育則主張新制教育.教師左右為難? (Y4) |
|
7.目前部份家長團體.擺脫過去傳統教育則主張新制教育.教師左右為難不知如何以應? (Y4) |
|
|
學生與教師心靈構面 |
9.針對教育方式人人所持的意見不同.考慮的角度也不同.有些人認為過傳統教育.會對成長中幼兒的心靈造成一輩子的傷害。(Y5) |
|
10.目前教師這個行業越來越不受家長的尊重? (Y5) |
|
|
11.目前教育單位嚴格禁止體罰以免使幼兒身心受創。(Y5) |
第四章
資料分析
因子分析
表-2.KMO與Bartlett檢定
|
Kaiser-Meyer-Olkin 取樣適切性量數。 |
.682 |
|
|
Bartlett 球形檢定 |
近似卡方分配 |
278.477 |
|
|
自由度 |
66 |
|
|
顯著性 |
.000 |
本研究採「因子分析」將影響因子之屬性變項進行因子的抽取工作.在進行因子分析之前先利用Bartlett`s 球形考驗與KMO 抽樣適當性進行檢測。Bartlett`s 球形考驗在測試現代教育制度滿意度變項因子結果達到顯著水準(P=.000).而KMO 係數值為0.682.故抽樣適當。
KMO 數值介於0 與1 之間,數值愈靠近1,表示變項的相關愈高,愈適合進行因素分析,
數值愈靠近0,表示變項的相關愈低,愈不適合進行因素分析,如表-2 KMO與Bartlett檢定所示。
Table Interpretation of the magnitude of KMO value
KMO value Interpretation
>0.90 極佳(marvelous)
0.80~0.89 良好(meritorious)
0.70~0.79 中度(middling)
0.60~0.69 平庸(mediocre)
0.50~0.59 可悲(miserable)
<0.50
無法接受(unacceptable)
表-3.特徵圖
|
|
成份 |
||||
|
|
1 |
2 |
3 |
4 |
5 |
|
6.您對幼兒犯錯糾正後.我們應以同理心繼續來輔導深感認同?(Y1) |
.835 |
.174 |
.070 |
.269 |
.132 |
|
3.您對幼兒犯錯糾正以勸導方式深表認同? (Y1) |
.705 |
.438 |
.139 |
.065 |
-.112 |
|
4.您對幼兒犯錯糾正以適度罰站深表認同? (Y2) |
.175 |
.871 |
.111 |
.155 |
.089 |
|
5.您對幼兒犯錯糾正剝奪其玩的權利深表認同? (Y2) |
.163 |
.799 |
.148 |
.163 |
.292 |
|
1.您對獎懲的方式是最佳糾正幼兒不良的行為。(Y3) |
-.071 |
.091 |
.868 |
.194 |
-.019 |
|
12.目前致力提升教育品質.讓幼兒能獲妥善教育方式幼兒學習成長之福。(Y3) |
.435 |
.076 |
.717 |
.122 |
.269 |
|
2.您對勸導善誘的方式是最佳糾正幼兒不良的行為。(Y3) |
.428 |
.324 |
.591 |
-.194 |
.098 |
|
8.目前部份教育團體.擺脫過去傳統教育則主張新制教育.教師左右為難? (Y4) |
.203 |
.068 |
.003 |
.863 |
.280 |
|
7.目前部份家長團體.擺脫過去傳統教育則主張新制教育.教師左右為難不知如何以應? (Y4) |
.045 |
.211 |
.188 |
.859 |
-.011 |
|
9.針對教育方式人人所持的意見不同.考慮的角度也不同.有些人認為過傳統教育.會對成長中幼兒的心靈造成一輩子的傷害。(Y5) |
-.075 |
.176 |
-.107 |
.256 |
.741 |
|
10.目前教師這個行業越來越不受家長的尊重? (Y5) |
.134 |
.296 |
.305 |
.033 |
.707 |
|
11.目前教育單位嚴格禁止體罰以免使幼兒身心受創。(Y5) |
.594 |
-.198 |
.215 |
-.061 |
.634 |
萃取方法:主成分分析,萃取了 5 個成份,如表-3特徵圖所示。
1.因子之間關係在於學生犯錯以柔性勸導的方式及同理心屬於柔性教育構面(Y1)。
2.因子之間關係在於學生犯錯以適度體罰或者剝奪期玩的方式屬於嚴厲教育構面(Y2)。
3.因子之間關係在於學生犯錯以勸導善誘及提升教育成長之福屬於教育品質構面(Y3)。
4.因子之間關係在於學生家長團體及教育團體制度屬於教育屬於外在因素構面(Y4)。
5.因子之間關係在於學生因受到教師嚴厲教學所產生出負面影響及教師屬於學生與教師心靈構面(Y5)。
驗證結構分析
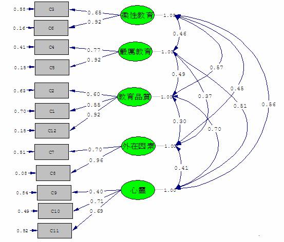
本研究教育學生產生外在因素是否會影響老師教學品質,如圖-2教育與外在關係之路徑圖表示。
1.因素建構組合負荷=(ΣA)*(ΣA)/[(ΣA)*(ΣA)+ΣB]結果必須大於0.7。

圖-2五大構面之關係路徑圖
2. 因素建構組合負荷構面計算結果
(2–1).柔性教育因素建構組合負荷得知計算結果為0.77大於0.7
(2–2).嚴厲教育因素建構組合負荷得知計算結果為0.84大於0.7
(2–3).教育品質因素建構組合負荷得知計算結果為0.74大於0.7
(2–4).外在因素建構組合負荷得知計算結果為0.82大於0.7
(2–5).心靈因素建構組合負荷得知計算結果為0.64小於0.7
假設檢定之結果
(1).柔性教育與嚴厲教育雖與嚴厲教育小於0.5得知之間關係為0.46還是有部份相關影響。
(2).柔性教育與教育品質之間關係大於0.5是有相關性的影響,柔性方式教導學生相對學生也會提昇教學意願。
(3).柔性教育與外在因素之間關係小於0.5從中得知柔性教育不影響外在因素。
(4).柔性教育與心靈之間關係大於0.5得知之間是有相對性的影響,柔性教育對教師與學生相對有心靈上的影響。
(5).嚴厲教育與教學品質之間關係小於0.5,從中得知嚴厲教育與教學品質不會具有直接性的影響。
(6).嚴厲教育與外在因素之間關係小於0.5,從中得知因外在因素影響不會影響嚴歷教學。
(7).嚴厲教育與心靈之間關係大於0.5,從中得知嚴厲教育相對會影響心靈此點可分為正面影響及負面影響。
(8).教育品質與外在因素之間關係小於0.5,從中得知外在因素不太影響到教育品質。
(9).教育品質與心靈因素之間關係大於0.5,從中得知心靈因素影響到教育品質。
(10).外在因素與心靈因素之間關係小於0.5,從中得知心靈因素不太影響到外在因素。
第五章、討論
由結果得知柔性教育方式對於教學品質是有相對性的影響,由柔性教學方式相對提高學生學習意願也會提高整體教學品質,在嚴厲教育方式與心靈上也會有相對性的影響,但嚴厲教育方式可分為正面影響及負面影響,在於學生受到嚴厲教育方式如何以正面思考育面對,因教育制度改革及家長外在因素的影響,會直接影響教育品質在每位教師所教學方式各不相同,因外在因素影響如與原先教學方式有所衝突相對的會影教學品質,在千變萬化教學方式該如何使用最恰當方式,不只現代父母該思考地方以及教師,教育不只是在學校在家中教育也是非常的重要。
做錯事適時適當合理的處罰是必要的,人都有其劣根性要賞罰分明,過度溺愛只會養成沒是非觀念,不懂做人處世真正的道理,但是如果有更好的方法來教育那就最好不過了,人格教育要由小養成當小孩開始學說話已經在複製家長的行為,家長的身教言教最重要,學齡前人格發展上已到了一定程度,上學進到了另一個階段重要的關鍵期,由原來的家庭生活規範到團體的生活規範,小孩子他會重新學習要如何跟其他不是家人的人相處,也會認識到新的行為規範。
學校教育除了知識的傳授之外,還有很大程度的道德教育與社會學習,零體罰以後的問題是整個社會將來要承擔的問題,要用愛的教育來教育小孩子當然是很好的構想,但是需要時間,需要很長時間的相處與極大的耐性去與小孩溝通,
但是現實上有多少家庭可以有時間做到愛的教育,或許在一對一教學環境中可以,一對多就很難,行為模式是需要塑造的。
以前的社會不像現在的社會這麼的富裕,過去的父母甚至想要讀書則是因為家庭經濟的關係所以必須放棄自己的學業出來工作與父母一起分攤家計,所以過去的父母大多都走過這一段辛苦的路程,所以都能很深深體會到過去想讀書但因為種種因素放棄,相對的對下一代孩子需要什麼都想盡辦法達成,對自己孩子的期望相對的也會提高,比起以前過去的父母當小孩的壓力更至大,期望越高、失望越大,過去的父母知道什麼是苦的,現在孩子一出生所接觸的環境不像過去這麼的節儉,一出生就知道想要什麼父母都會盡全力的給於,不讓孩子受到任何傷害但孩子是否了解父母所做的種種的意義。
第六章
結論
本研究結果得知過去傳統教育方式改革新的制度,目前由舊制度慢慢走向新制度,部份教師在過去傳統教育方式轉為新制度教育,也正處於磨合期階段對,父母都希望教師能有好的教育品質,但外在因素是有絕對的影響教育品質,在結果看來外在因素對於教師教學品質有一定的影響,外在因素會影響教師教學品是一體兩面,正向的影響則是會提升教育品質,負面影響也相對的影響不只是老師,影響最大的則是受教的幼兒,在推動教育制度每個人所站的角度都大不相同,在這個角度看來是正向的相對也有所謂的負向,在這兩面如何取捨是未來該好好討論,而讓未來孩子擁有優良教育品質將來與國際社會競爭。
參考文獻與資料
中原大學師資培育中心41期【落實校園零體罰政策的積極策略─台北市師範學院教育行政與評鑑研究所 吳清山 教授 】,http://wwwsrv.cc.cycu.edu.tw/education/epaper/enews41/index.htm
零體罰時代.孩子怎麼管教?文/黃維明、何琦瑜2007年親子天下專刊 教出品格力,http://beitun.topschool.com.tw/SC200607120004/%B9s%C5%E9%BB@%AE%C9%A5N[1].doc
做孩子的心理學家-游乾桂(編輯室報告)
Rokeach, M. J. (1973).
The nature of human values,
Rangaswamy , Arvind, Raymond R. Burke, and Terence
A.Oliva(1993), Brand Equity and the Extendibility
of
Brand Names,International Journal of Research
Cudeck, R. (1989). Analysis of Correlation Matrices Using
CovarianceStructure Models. Psychological Bulletin, 105, 281-302.
Engel, J. F., Kollat, D. T. and Blackwell, R. D. (1982). Consumer Behavior. 4th ed, Chicago:
Dryden
教育改革與教育討論區
別當直升機父母作者:李雪莉 2007.03.28/ 天下雜誌 第368期,http://www.dyps.tcc.edu.tw/oldsu/9603/photo/parents/96040411.doc
天下雜誌作者:黃維明、何琦瑜2007.04.06/第20070404期,http://www.cw.com.tw/assets/print2.jsp?AID=2981
天下雜誌作者:黃維明、何琦瑜2007.04.06/第20070404期,http://www.cw.com.tw/article/relative/relative_article.jsp?AID=2981
附件一、問卷
老 師 對 幼 兒 教 育 問 卷 調 查
性別: ○男
○女 教學年資: ○1~5年 ○5~10年
○10年以上
年齡: ○20~25歲 ○26~30歲○31~35歲○36~40歲○40歲以上
|
一.您對獎懲的方式是最佳糾正幼兒不良的行為。 |
請打勾 |
|
1非常不同意 |
|
|
2不同意 |
|
|
3沒所謂同意或不同意 |
|
|
4同意 |
|
|
5非常同意 |
|
|
二.您對勸導善誘的方式是最佳糾正幼兒不良的行為。 |
請打勾 |
|
1非常不同意 |
|
|
2不同意 |
|
|
3沒所謂同意或不同意 |
|
|
4同意 |
|
|
5非常同意 |
|
|
三.您對幼兒犯錯糾正以勸導方式深表認同? |
請打勾 |
|
1非常不同意 |
|
|
2不同意 |
|
|
3沒所謂同意或不同意 |
|
|
4同意 |
|
|
5非常同意 |
|
|
四.您對幼兒犯錯糾正以適度罰站深表認同? |
請打勾 |
|
1非常不同意 |
|
|
2不同意 |
|
|
3沒所謂同意或不同意 |
|
|
4同意 |
|
|
5非常同意 |
|
|
五.您對幼兒犯錯糾正剝奪其玩的權利深表認同? |
請打勾 |
|
1非常不同意 |
|
|
2不同意 |
|
|
3沒所謂同意或不同意 |
|
|
4同意 |
|
|
5非常同意 |
|
|
六.您對幼兒犯錯糾正後.我們應以同理心繼續來輔導深感認同? |
請打勾 |
|
1非常不同意 |
|
|
2不同意 |
|
|
3沒所謂同意或不同意 |
|
|
4同意 |
|
|
5非常同意 |
|
|
七.目前部份家長團體.擺脫過去傳統教育則主張新制教育.教師左右為難不知如何以應? |
請打勾 |
|
1非常不同意 |
|
|
2不同意 |
|
|
3沒所謂同意或不同意 |
|
|
4同意 |
|
|
5非常同意 |
|
|
八.目前部份教育團體.擺脫過去傳統教育則主張新制教育.教師左右為難? |
請打勾 |
|
1非常不同意 |
|
|
2不同意 |
|
|
3沒所謂同意或不同意 |
|
|
4同意 |
|
|
5非常同意 |
|
|
九.針對教育方式人人所持的意見不同.考慮的角度也不同.有些人認為過傳統教育.會對成長中幼兒的心靈造成一輩子的傷害。 |
請打勾 |
|
1非常不同意 |
|
|
2不同意 |
|
|
3沒所謂同意或不同意 |
|
|
4同意 |
|
|
5非常同意 |
|
|
十.目前教師這個行業越來越不受家長的尊重? |
請打勾 |
|
1非常不同意 |
|
|
2不同意 |
|
|
3沒所謂同意或不同意 |
|
|
4同意 |
|
|
5非常同意 |
|
|
十一.目前教育單位嚴格禁止體罰以免使幼兒身心受創。 |
請打勾 |
|
1非常不同意 |
|
|
2不同意 |
|
|
3沒所謂同意或不同意 |
|
|
4同意 |
|
|
5非常同意 |
|
|
十二.目前致力提升教育品質.讓幼兒能獲妥善教育方式幼兒學習成長之福。 |
請打勾 |
|
1非常不同意 |
|
|
2不同意 |
|
|
3沒所謂同意或不同意 |
|
|
4同意 |
|
|
5非常同意 |
|
感謝您的填寫!